A partir dos resultados de 6 testes de tração (realizados pelo Prof. Inácio Morsch) e dos resultados de 93 ensaios de compressão de corpos de prova de diferentes comprimentos e formados por diferentes números de fios de espaguete (realizados pelo Coordenador da Competição, Prof. Luis Alberto Segovia González, com seus alunos Luis Henrique Bento Leal, Mário Sérgio Sbroglio Gonçalves, Bruna Guerra Dalzochio, Rafael da Rocha Oliveira e Carlos Eduardo Bernardes de Oliveira), foi redigido pelo Prof. João Ricardo Masuero um roteiro de cálculo para o dimensionamento das barras das treliças das pontes. Os dados e gráficos publicados nesta página estão baseados nos ensaios mencionados e podem ser utilizados livremente, desde que seja citada a fonte e sejam devidamente mencionados todos os autores dos ensaios realizados.
Barras em tração
Para encontrar o número de fios de espaguete necessário, basta dividir o Esforço Normal de tração calculado, pela resistência de cada fio:
Barras em compressão
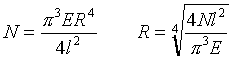
Para encontrar o número de fios necessários, consideremos que a flambagem ocorre em regime elástico linear, seguindo a equação de Euler. Os dados dos testes de flambagem foram condensados na curva de flambagem abaixo, onde os pontos em azul representam os resultados experimentais, a curva em preto um ajuste de função potência, com coeficiente de determinação de 94%, e os pontos em amarelo os resultados para diversos índices de esbeltez, considerando-se a curva de Euler com um Módulo de Young E = 36000 kgf/cm2 ou 3600 Mpa (N/mm2).

A equação de Euler é:

Onde PCR é o Esforço Normal de compressão que a barra deve suportar, A é a área da seção transversal, l é o índice de esbeltez da barra, lfl é o comprimento de flambagem da barra, r é o raio de giração e I é o momento principal central de inércia da seção.
Considerando-se que a partir de um certo número de fios de espaguete, a seção transversal tende para uma seção circular, pode-se escrever:

e que, em barras rotuladas-rotuladas, o comprimento de flambagem é igual ao comprimento real ou distância entre nós, obtém-se:

Mesmo que os nós não sejam rotulados, mas rígidos com uniões coladas, a consideração anterior é conservativa pois não se pode garantir o engastamento perfeito das barras nos nós, levando a uma situação intermediária entre a considerada e a engastada-engastada.
O número de fios pode ser obtido dividindo-se a área necessária pela área de cada fio.

onde r é o raio de um fio de espaguete.
Assim, para os dados do espaguete, a equação acima fica:
para N em kgf, l e r em cm
para N em N, l e r em mm